KAMAL BAJAJ APTITUDE ARTICLES FOR CAT/SSC CGL/BANK PO/GRE/GMAT

Saturday, 9 April 2016

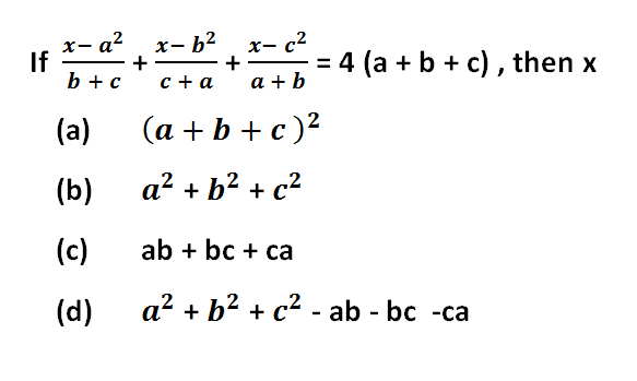
ALGEBRA SSC CGL DOUBT BY STUDENTS

     This is very important algebra question i am posting with my own unique trick if you master these tricks you can solve  SSC  CGL ALGEBRA QUESTIONS with this trick in few seconds 




Posted by Unknown at 04:52
Email ThisBlogThis!Share to XShare to FacebookShare to Pinterest

No comments:

Post a Comment

Newer Post Older Post Home
Subscribe to: Post Comments (Atom)

About Me

Unknown
View my complete profile

Blog Archive

  • ►  2018 (9)
    • ►  May (1)
    • ►  April (3)
    • ►  March (3)
    • ►  February (2)
  • ►  2017 (22)
    • ►  December (2)
    • ►  November (2)
    • ►  August (4)
    • ►  July (4)
    • ►  June (7)
    • ►  May (1)
    • ►  March (2)
  • ▼  2016 (17)
    • ►  November (1)
    • ►  October (1)
    • ►  June (3)
    • ▼  April (10)
      • Trigonometry special trick
      • PERMUTATION QUESTION FOR BANK PO/CAT
      • IMPORTANT FOR CAT/PLACEMENTS
      • Trigonometry important trick
      • Time and Work Important trick
      • TIME AND WORK IMPORTANT QUESTION WITH A LOGICAL T...
      • VERY IMPORTANT CONE CUTTING SSC CGL 2015 MAINS QU...
      • SSC CGL DOUBTS BY STUDENTS
      • ALGEBRA SSC CGL DOUBT BY STUDENTS
      • SSC CGL DOUBT BY STUDENTS
    • ►  March (2)
Simple theme. Powered by Blogger.